声明:最终以安徽省教育招生考试院(www.ahzsks.cn)和安徽省成人高校招生网(crbm.ahzsks.cn)发布的信息为准。

安徽成人学历提升热线

17333258710

您现在的位置:安徽成人高考 > 成考高起专 > 数学(理) > 历年真题 >

2021年成人高考高起专数学(理)考试真题

发布时间:2023-03-02浏览:1180次 编辑:ll老师 收藏文章

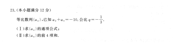
成人高考考试结束之后,网上也陆陆续续的公布了一些科目的真题及答案。快师教育安徽成考网根据考生提供的内容,将2021年成人高考高起专数学(理)考试真题整理并发布如下。由于题目都是网友根据回忆整理而来的,故仅供广大考生参考,如有疑问或想要提供更多科目真题的,可直接在线咨询:17333258710

43

44

45

46

47

48

更多推荐:2021年成人高考高起专数学(理)考试试题答案

评论

0人参与,0条评论

全部评论(0)

还没有评论,快来抢沙发吧!

学历提升报名热线:17333258710

地址:安徽省合肥市蜀山区长江西路200号置地投资广场8楼

网站版权Copyright © 快师教育所有 备案号: 皖ICP备17016797号-2

历年真题|考试科目|报考专业|招生院校|网站地图|关于安徽成考网