声明:最终以安徽省教育招生考试院(www.ahzsks.cn)和安徽省成人高校招生网(crbm.ahzsks.cn)发布的信息为准。

安徽成人学历提升热线

17333258710

您现在的位置:安徽成人高考 > 成考高起专 > 数学(文) > 历年真题 >

2022年成人高考高起专数学(文)考试真题及答案

发布时间:2023-04-10浏览:4350次 编辑:ll老师 收藏文章

成人高考考试结束之后,网上也陆陆续续的公布了一些科目的真题及答案。快师教育安徽成考网根据考生提供的内容,将2021年成人高考高起专数学(文)考试真题及真题答案整理并发布如下。由于题目都是网友根据回忆整理而来的,故仅供广大考生参考,如有疑问或想要提供更多科目真题的,可直接在线咨询:17333258710。

2022年成人高考高起专数学(文)考试真题及答案


一、单选题 (共17题)

1.设集合M={x||x-2|<2},N={0,1,2,3,4},则M∩N=( )

A {2}

B {0,1,2}

C {1,2,3}

D {0,1,2,3,4}

正确答案:C

[考情点拨]本题主要考查的知识点为集合的运算.

[应试指导]解得M= {x||x-2|<2}= {x|-2<x-2<2}= {x|0<x< 4},故M∩N= {1,2,3}.

2.设函数f(x+1) = 2x+2,则f(x) =( )

A 2x- 1

B 2x

C 2x+ 1

D 2x+2

正确答案:B

[考情点拨]本题主要考查的知识点为函数的定义.

[应试指导] f(x+1) = 2x+2= 2(x+ 1),令t= x+1,故f(t) = 2t,把t换成x,因此f(x) = 2x.

3.函数2022年数学文真题1的定义域是()

A {x|-3≤x≤-1}

B {x|x≤-3或x≥-1}

C {x|1≤x≤3}

D {x|x≤1或x≥3}

正确答案:D

[考情点拨]本题主要考查的知识点为函数的定义域.

[应试指导]由题可知x 2-4x+3≥0,解得x≥3或x≤1,故函数的定义域为{x| x≤1或x≥3}.

4.下列函数中,为奇函数的是( )

A y = cos 2x

B y = sin.x

C y= 2 -x

D y= x+1

正确答案:B

解析

[应试指导]当f(-x) =-f(x)时,函数f(x)是奇函数,四个选项中只有选项B符合,故选B选项.

5.下列函数中,为减函数的是( )

A y = cosx

B y= 3 x

2022年数学文真题2

D y= 3x 2- 1

正确答案:C

解析

[应试指导]由对数函数的性质可知,当底数大于0小于1时,在定义城内,对数函数为减函数,故选C选项.

6.函数y= x 2+ 1(x> 0)的图像在( )

A 第一象限

B 第二象限

C 第三象限

D 第四象限

正确答案:A

解析

[应试指导]当x>0时,函数y= x 2+1>0,因此函数的图像在第一象限.

7.设α是三角形的一个内角,若cosα =2022年数学文真题3,则sinα=( )

2022年数学文真题3

2022年数学文真题4

2022年数学文真题5

2022年数学文真题6

正确答案:D

解析

[应试指导]由题知0<a<π,而2022年数学文真题7

8.如果点(2,-4)在一个反比例函数的图像上,那么下列四个点中也在该图像上的是( )

A (-2,4)

B (-4,-2)

C (-2,-4)

D (2,4)

正确答案:A

解析

[应试指导]设反比例函数为2022年数学文真题8,点(2,-4)在反比例函数的图像上,因此有2022年数学文真题9,解得k=-8,故反比例函数2022年数学文真题10,当x=-2时,y= 4,故选项A在该图像上.

9.已知2022年数学文真题11,则sin2α=( )

2022年数学文真题12

2022年数学文真题13

C 7/25

D 24/25

正确答案:D

解析

[应试指导]2022年数学文真题14

10.设甲:△ABC∽△A'B'C';乙:△ABC≌△A'B'C',则( )

A 甲是乙的必要条件但不是充分条件

B 甲是乙的充分条件但不是必要条件

C 甲是乙的充要条件

D 甲既不是乙的充分条件也不是乙的必要条件

正确答案:A

解析

[应试指导]三角形相似不一定全等,但三角形全等一定相似,因此,甲是乙的必要条件但不是充分条件.

11.已知向量i,j为互相垂直的单位向量,向量a= 2i+mj,若| a |= 2,则m =( )

A -2

B -1

C 0

D 1

正确答案:C

解析

[应试指导]由题可知a= (2,m),因此2022年数学文真题15,故m= 0.

12.用1,2,3,4组成没有重复数字的三位数,其中偶数共有( )

A 24个

B 12个

C 6个

D 3个

正确答案:B

解析

[应试指导]若三位数为偶数,个位数只能从2,4中选一个,故没有重复数字的偶数三位数为2022年数学文真题16=3×2×2 =12个.

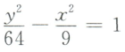
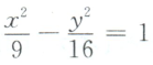
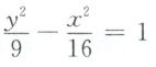
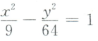
13.中心在坐标原点,对称轴为坐标轴,且一个顶点为(3,0),虚轴长为8的双曲线的方程是( )

2022年数学文真题17 

2022年数学文真题18 

2022年数学文真题19 

2022年数学文真题20 

正确答案:B

解析

[应试指导]双曲线有一个顶点为(3,0),因此所求双曲线的实轴在x轴上,可排除A、C选项,又由于虛轴长为8,故b= 4,即b 2 = 16,故双曲线方程为2022年数学文真题20

14.函数y= 4 x的图像与直线y = 4的交点坐标为( )

A (0,4)

B (4,64)

C (1,4)

D (4,16)

正确答案:C

解析

[应试指导]令y=4 x= 4,解得x= 1,故所求交点为(1,4).

15.已知直线l:3x- 2y-5= 0,圆C:(x- 1) 2+(y+1) 2= 4,则C上到l的距离为1的点共有( )

A 1个

B 2个

C 3个

D 4个

正确答案:D

解析

[应试指导]由题可知圆的圆心为(1,-1),半径为2,圆心到直线的距离为2022年数学文真题22,即直线过圆心,因此圆C上到直线的距离为1的点共有4个.

16.对于函数f(x) = ax 2+bx+c(a≠0),有下列两个命题:①如果c=0,那么y= f(x)的图像经过坐标原点②如果a<0,那么y= f(x)的图像与x轴有公共点则()

A ①②都为真命题

B ①为真命题,②为假命题

C ①为假命题,②为真命题

D ①②都为假命题

正确答案:B

解析

[应试指导]若c=0,则函数f(x)=ax 2+bx过坐标原点,故①为真命题;若a<0,而△=b 2-4ac<0,则函数f(x) = ax 2+bx+c的图像开口向下,与x轴没有交点,故②为假命题,因此选B选项.

17.袋中有6个球,其中4个红球,2个白球,从中随机取出2个球,则这2个球都为红球的概率为( )

A 4/5

B 8/15 

C 2/5

D 4/15 

正确答案:C

解析

[应试指导]两个球都是红球的概率为 2022年数学文真题23

评论

0人参与,0条评论

全部评论(0)

还没有评论,快来抢沙发吧!

学历提升报名热线:17333258710

地址:安徽省合肥市蜀山区长江西路200号置地投资广场8楼

网站版权Copyright © 快师教育所有 备案号: 皖ICP备17016797号-2

历年真题|考试科目|报考专业|招生院校|网站地图|关于安徽成考网