声明:最终以安徽省教育招生考试院(www.ahzsks.cn)和安徽省成人高校招生网(crbm.ahzsks.cn)发布的信息为准。

安徽成人学历提升热线

17333258710

您现在的位置:安徽成人高考 > 成考专升本 > 高等数学二 > 历年真题 >

2022年成人高考专升本高等数学(二)考试真题

发布时间:2023-03-21浏览:2242次 编辑:ll老师 收藏文章

成人高考专升本一年一次考试机会,每年的考试真题是考生考前必刷的。已经在网上买过复习资料的考生,可能会自带真题试卷,没有买资料的考生,可以在快师教育网站在线刷题。以下是2022年成人高考专升本《高等数学(二)》考试的部分真题,考生如有需要更多历年成考真题及答案可以在下面的留言框留言咨询。

成考高等数学二真题

一、单选题 (共10题)

1设函数f(x) = sinx,g(x) = x 2 ,则f(g(x))( )

A 是奇函数但不是周期函数

B 是偶函数但不是周期函数

C 既是奇函数又是周期函数

D 既是偶函数又是周期函数

2.31()

A 1

B 2

C 3

D 4

3.设函数f(x)在x= 0处连续,g(x)在x= 0处不连续,则在x= 0处( )

A f(x)g(x)连续

B f(x)g(x)不连续

C f(x)+g(x)连续

D f(x)+g(x)不连续

4.设y= arccosx,则y' =( )

32 

33 

34 

35 

5.设y = ln(x+e -x),则y’=( )

36

6.设y (n-2)= x 2+sinx,则y (n) =( )

A 2-sinx

B 2-cosx

C 2+sinx

D 2+cosx

7.若函数f(x)的导数f'(x) =-x+1,则( )

A f(x)在(-∞,+∞)单调递减

B f(x)在(-∞,+∞)单调递增

C f(x)在(-∞,1)单调递增

D f(x)在(1,+∞)单调递增

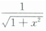
8.曲线 37的水平渐近线方程为()

A y=0

B y=1

C y=2

D y=3

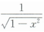
9.设函数f(x) = arctanx,则ʃf'(x)dx =( )

A arctanx+C

B -arctanx+C

38

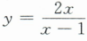
10.39

A dx+dy

B dx+edy

C edx+dy

D e 2dx +e 2dy

更多推荐:

2022年成人高考专升本高等数学(二)考试真题答案

评论

0人参与,0条评论

全部评论(0)

还没有评论,快来抢沙发吧!

学历提升报名热线:17333258710

地址:安徽省合肥市蜀山区长江西路200号置地投资广场8楼

网站版权Copyright © 快师教育所有 备案号: 皖ICP备17016797号-2

历年真题|考试科目|报考专业|招生院校|网站地图|关于安徽成考网