声明:最终以安徽省教育招生考试院(www.ahzsks.cn)和安徽省成人高校招生网(crbm.ahzsks.cn)发布的信息为准。

安徽成人学历提升热线

17333258710

您现在的位置:安徽成人高考 > 成考专升本 > 高等数学二 > 模拟试题 >

2023年成人高考高等数学必刷模拟题一答案

发布时间:2023-07-10浏览:1863次 编辑:ll老师 收藏文章

高等数学模拟题答案

一.选择题:(共12小题,每题4分,共48分.)

1-5  BCABA   6-10  CCBDC    11-12AB

二.填空题:(共6小题,每题4分,共24分.)

13.数学13   

14.奇函数  

15.单调递增

16. 0   

17.(14,0)  

18.1/14

三.解答题:(共7小题,19-23每题10分,14-24每题14分,共78分.)

19. [-4,-3]

20.数学14 

数学15

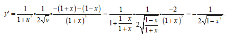
21.数学16

数学17

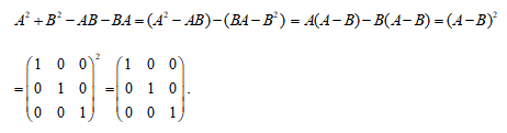
22. 数学18

23.数学19

24.

数学20

25.  (1)1/6;(2)5/9;(3)5/6

特别提醒:想要了解成人高考各科考试真题、模拟题等考试真题(电子版本),可以在线咨询或在留言板留言咨询~

相关推荐

评论

0人参与,0条评论

全部评论(0)

还没有评论,快来抢沙发吧!

学历提升报名热线:17333258710

地址:安徽省合肥市蜀山区长江西路200号置地投资广场8楼

网站版权Copyright © 快师教育所有 备案号: 皖ICP备17016797号-2

历年真题|考试科目|报考专业|招生院校|网站地图|关于安徽成考网