声明:最终以安徽省教育招生考试院(www.ahzsks.cn)和安徽省成人高校招生网(crbm.ahzsks.cn)发布的信息为准。

安徽成人学历提升热线

17333258710

您现在的位置:安徽成人高考 > 成考专升本 > 高等数学二 > 历年真题 >

2022年成人高考专升本《高等数学(二)》考试真题答案

发布时间:2023-04-08浏览:2765次 编辑:ll老师 收藏文章

成人高考专升本一年一次考试机会,每年的考试真题是考生考前必刷的。已经在网上买过复习资料的考生,可能会自带真题试卷,没有买资料的考生,可以在快师教育网站在线刷题。以下是2022年成人高考专升本《高等数学(二)》考试的部分真题答案,考生如有需要更多历年成考真题及答案可以在下面的留言框留言咨询。

2022年成人高考专升本《高等数学(二)》考试真题答案

1、B

[考情点拨]本题考查了复合函数的性质的知识点.[应试指导] f(g(x))= f(x 2)= sinx 2 ,而f(g(-x))= sin(-x) 2 = sinx 2 = f(g(x)),所以函数 f(g(x))是偶函数,但不是周期函数.

2、A

[考情点拨]本题考查了洛必达法则的知识点.

[应试指导] 2022年高等数学二14

3、D

[考情点拨]本题考查了函数的连续性的知识点.

[应试指导] f(x) 在x= 0处连续,g(x)在x= 0处不连续,故f(x) + g(x)在x=0处不连续.否则若f(x) +g(x)在x=0处连续,则f(x)+ g(x)- f(x) = g(x)在x=0处连续,与题意矛盾,故选D选项.

4、B

[考情点拨]本题考查了函数导数的知识点.

[应试指导] 2022年高等数学二15

5、B

[考情点拨]本题考查了复合函数的导数的知识点.

[应试指导] 2022年高等数学二16

6、A

[考情点拨]本题考查了高阶导数的知识点.

[应试指导] y (n-1) =[y (n-2)]'= (x 2+sinx)'= 2x+ cosx,所以y (n)= [y (n-1)]'= (2x + cosx)'= 2-sinx.

7、C

[考情点拨]本题考查了函数的单调性的知识点。

[应试指导]当x<1时,f'(x) =-x+1>0,故函数的单调递增区间为(-∞,1);当x>1时,f'(x) =-x+1<0,故函数的单调递减区间为(1,+∞).因此选C选项。

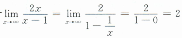
8、C

[考情点拨]本题考查了函数的水平渐近线的知识点。

[应试指导]由于2022年高等数学二17,故函数的水平渐近线为y= 2.

9、A

[考情点拨]本题考查了不定积分的性质的知识点。

[应试指导] ∫f'(x)dx = f(x)+C= arctanx+ C.

10、D

[考情点拨] 本题考查了二阶函数的全微分的知识点。

2022年高等数学二18

二、问答题

11、[答案]-1

[应试指导] 2022年高等数学二19

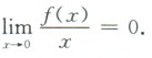
12、[答案] 0

[应试指导] 当x→0时,f(x)是x的高阶无穷小量,故2022年高等数学二20

13、[答案] 6x

[应试指导] y' = (3x 2 +In3)'= (3x 2)'+ (In3)'= 6x+0= 6x.

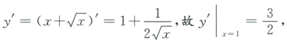
14、[答案]2x+3y-8= 0

[应试指导]由题可得2022年高等数学二21因此曲线在点(1,2)处法线的斜率是2022年高等数学二22,故所求法线的方程为2022年高等数学二23,即2x+ 3y-8= 0.

15、[答案] 0

[应试指导]2022年高等数学二24,因此f(x)为奇函数,所以2022年高等数学二25

更多推荐:

>>> 2022年成人高考专升本《高等数学(二)》考试真题

评论

0人参与,0条评论

全部评论(0)

还没有评论,快来抢沙发吧!

学历提升报名热线:17333258710

地址:安徽省合肥市蜀山区长江西路200号置地投资广场8楼

网站版权Copyright © 快师教育所有 备案号: 皖ICP备17016797号-2

历年真题|考试科目|报考专业|招生院校|网站地图|关于安徽成考网