声明:最终以安徽省教育招生考试院(www.ahzsks.cn)和安徽省成人高校招生网(crbm.ahzsks.cn)发布的信息为准。

安徽成人学历提升热线

17333258710

您现在的位置:安徽成人高考 > 成考专升本 > 高等数学一 > 历年真题 >

2015年成人高考专升本高等数学一真题

发布时间:2019-03-27浏览:1985次 编辑:孙老师 收藏文章

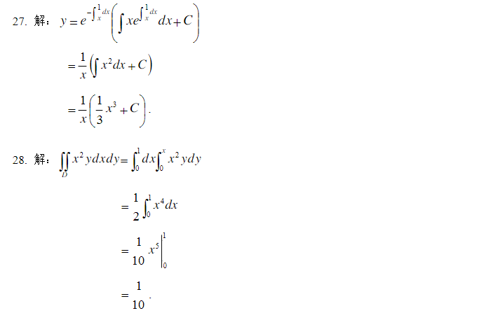
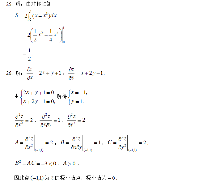
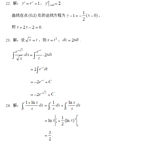
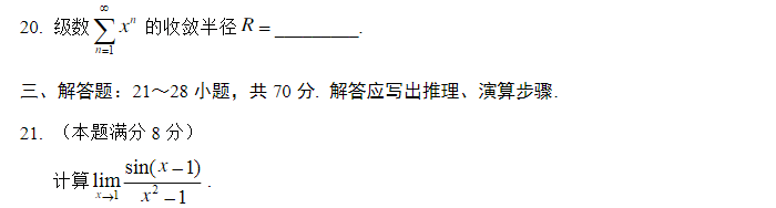
2015年成人高考专升本高等数学一考试真题及参考答案2015年成人高考专升本高等数学一考试真题及参考答案12015年成人高考专升本高等数学一考试真题及参考答案22015年成人高考专升本高等数学一考试真题及参考答案32015年成人高考专升本高等数学一考试真题及参考答案42015年成人高考专升本高等数学一考试真题及参考答案52015年成人高考专升本高等数学一考试真题及参考答案62015年成人高考专升本高等数学一考试真题及参考答案72015年成人高考专升本高等数学一考试真题及参考答案82015年成人高考专升本高等数学一考试真题及参考答案92015年成人高考专升本高等数学一考试真题及参考答案102015年成人高考专升本高等数学一考试真题及参考答案112015年成人高考专升本高等数学一考试真题及参考答案122015年成人高考专升本高等数学一考试真题及参考答案132015年成人高考专升本高等数学一考试真题及参考答案142015年成人高考专升本高等数学一考试真题及参考答案15


评论

0人参与,0条评论

全部评论(0)

还没有评论,快来抢沙发吧!

学历提升报名热线:17333258710

地址:安徽省合肥市蜀山区长江西路200号置地投资广场8楼

网站版权Copyright © 快师教育所有 备案号: 皖ICP备17016797号-2

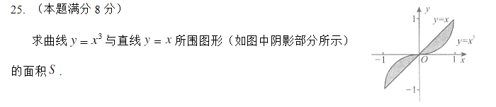
历年真题|考试科目|报考专业|招生院校|网站地图|关于安徽成考网