声明:最终以安徽省教育招生考试院(www.ahzsks.cn)和安徽省成人高校招生网(crbm.ahzsks.cn)发布的信息为准。

安徽成人学历提升热线

17333258710

您现在的位置:安徽成人高考 > 成考专升本 > 高等数学二 > 模拟试题 >

2019年成考专升本高等数学二考试模拟试题及答案(4)

发布时间:2019-08-03浏览:2548次 编辑:刘老师 收藏文章

快师教育网站最新发布了2019年安徽成考专升本高等数学二考试模拟试题及答案(4),可供考生学习使用!2019年安徽成人高考报名已经开始,考生复习工作也可以开展起来了。在复习期间,考生可以做一些最新的预测模拟试题,熟悉各个科目的考试题型,快师教育站内提供免费的模拟题下载资源,考生也可以在线学习,全力助考,让考生轻松升学!

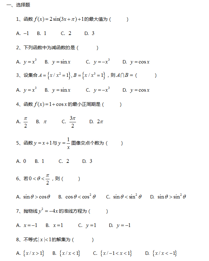
成人高考专升本高数二模拟试题.JPG

成人高考专升本高数二模拟试题_01

成人高考专升本高数二模拟试题_02

成人高考专升本高数二模拟试题_03

成人高考专升本高数二模拟试题_04

    2017-2019年安徽成考专升本高等数学二模拟试题资料

2017年成人高考高等数学二考试模拟试卷

2018年成人高考专升本高数(二)模拟题及答案

2019年成人高考《高等数学(二)》模拟试题和答案解析(一)

2019年成人高考《高等数学(二)》模拟题三

评论

0人参与,0条评论

全部评论(0)

还没有评论,快来抢沙发吧!

学历提升报名热线:17333258710

地址:安徽省合肥市蜀山区长江西路200号置地投资广场8楼

网站版权Copyright © 快师教育所有 备案号: 皖ICP备17016797号-2

历年真题|考试科目|报考专业|招生院校|网站地图|关于安徽成考网