声明:最终以安徽省教育招生考试院(www.ahzsks.cn)和安徽省成人高校招生网(crbm.ahzsks.cn)发布的信息为准。

安徽成人学历提升热线

17333258710

您现在的位置:安徽成人高考 > 成考专升本 > 高等数学二 > 历年真题 >

2014年成人高考专升本高等数学二真题

发布时间:2019-03-28浏览:1654次 编辑:孙老师 收藏文章

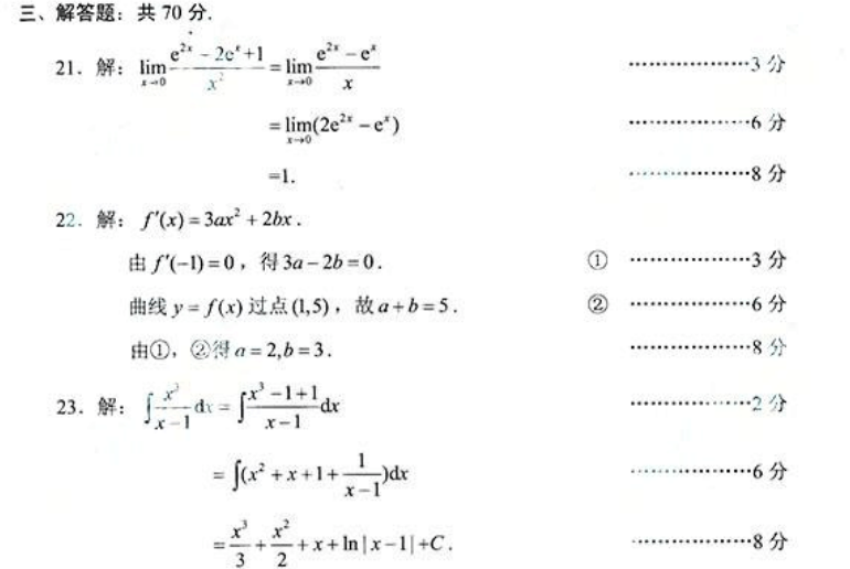
2014年成人高考专升本高等数学二考试真题2014年成人高考专升本高等数学二考试真题12014年成人高考专升本高等数学二考试真题22014年成人高考专升本高等数学二考试真题32014年成人高考专升本高等数学二考试真题42014年成人高考专升本高等数学二考试真题52014年成人高考专升本高等数学二考试真题62014年成人高考专升本高等数学二考试真题72014年成人高考专升本高等数学二考试真题82014年成人高考专升本高等数学二考试真题92014年成人高考专升本高等数学二考试真题102014年成人高考专升本高等数学二考试真题11

评论

0人参与,0条评论

全部评论(0)

还没有评论,快来抢沙发吧!

学历提升报名热线:17333258710

地址:安徽省合肥市蜀山区长江西路200号置地投资广场8楼

网站版权Copyright © 快师教育所有 备案号: 皖ICP备17016797号-2

历年真题|考试科目|报考专业|招生院校|网站地图|关于安徽成考网