声明:最终以安徽省教育招生考试院(www.ahzsks.cn)和安徽省成人高校招生网(crbm.ahzsks.cn)发布的信息为准。

安徽成人学历提升热线

17333258710

您现在的位置:安徽成人高考 > 成考专升本 > 高等数学二 > 历年真题 >

2007年安徽成人高考专升本《高等数学二》考试真题及答案解析

发布时间:2019-08-24浏览:2562次 编辑:刘老师 收藏文章

快师教育网站最新发布了2007年安徽成人高考专升本《高等数学二》考试真题及答案解析,可供考生学习使用!2019年安徽成人高考报名已经开始,考生复习工作也可以开展起来了。在复习期间,考生多做一些历年的考试真题,这样可以在更快的时间内了解成人高考各个科目试卷的命题规律,同时考生结合自己的经验总结出答题技巧,以更好的状态来应对今年的考试。

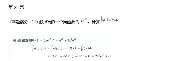
安徽成人高考专升本高数二考试真题.JPG

安徽成人高考专升本高数二考试真题_01

安徽成人高考专升本高数二考试真题_02

安徽成人高考专升本高数二考试真题_03

安徽成人高考专升本高数二考试真题_04

安徽成人高考专升本高数二考试真题_05

安徽成人高考专升本高数二考试真题_06

安徽成人高考专升本高数二考试真题_07

安徽成人高考专升本高数二考试真题_08


    2011-2016安徽成人高考专升本高数二历年真题资料

2011年安徽成人高考专升本高等数学二考试真题及参考答案

2012年安徽成人高考专升本高等数学二考试真题及参考答案

2013年安徽成人高考专升本高等数学二考试真题及参考答案

2014年安徽成人高考高等数学二考试真题及参考答案

2015年成人高考专升本高数二真题及答案

2016年成人高考专升本高数二考试真题及答案

评论

0人参与,0条评论

全部评论(0)

还没有评论,快来抢沙发吧!

学历提升报名热线:17333258710

地址:安徽省合肥市蜀山区长江西路200号置地投资广场8楼

网站版权Copyright © 快师教育所有 备案号: 皖ICP备17016797号-2

历年真题|考试科目|报考专业|招生院校|网站地图|关于安徽成考网