声明:最终以安徽省教育招生考试院(www.ahzsks.cn)和安徽省成人高校招生网(crbm.ahzsks.cn)发布的信息为准。

安徽成人学历提升热线

17333258710

您现在的位置:安徽成人高考 > 成考专升本 > 高等数学一 > 模拟试题 >

成人高考考前《高等数学》押题卷,2019年安徽成人高考高等数学考前押题

发布时间:2019-10-17浏览:2266次 编辑:刘老师 收藏文章

2019年安徽成人高考考试临近,众多考生都在进行大量的试题练习。快师教育现将成人高考考前《高等数学》押题卷发布在站内,押题卷是根据历年考试题型进行的大概率预测,有助于考生在短时间起到迅速提分的作用,考生如有需要可自行在站内进行学习。

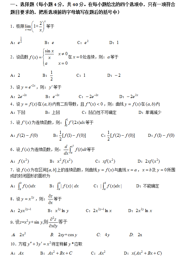
2019成人高考专升本高等数学考前押题 副本

2019成人高考专升本高等数学考前押题卷_02

2019成人高考专升本高等数学考前押题卷_03

2019成人高考专升本高等数学考前押题卷_04

2019成人高考专升本高等数学考前押题卷_05

2019成人高考专升本高等数学考前押题卷_06

2019成人高考专升本高等数学考前押题卷_07

2019成人高考专升本高等数学考前押题卷_08

     2019年安徽成人高考专升本高等数学考前押题卷相关推荐

2019年安徽成人高考专升本《高等数学一》模拟试题(四)

2019年成人高考专升本《高等数学一》模拟试题(三)

2019年安徽成人高考专升本《高等数学(二)》 模拟试题(五)

2019年安徽成人高考专升本高数(二)模拟题(四)

评论

0人参与,0条评论

全部评论(0)

还没有评论,快来抢沙发吧!

学历提升报名热线:17333258710

地址:安徽省合肥市蜀山区长江西路200号置地投资广场8楼

网站版权Copyright © 快师教育所有 备案号: 皖ICP备17016797号-2

历年真题|考试科目|报考专业|招生院校|网站地图|关于安徽成考网