声明:最终以安徽省教育招生考试院(www.ahzsks.cn)和安徽省成人高校招生网(crbm.ahzsks.cn)发布的信息为准。

安徽成人学历提升热线

17333258710

您现在的位置:安徽成人高考 > 成考专升本 > 高等数学一 > 历年真题 >

2019年成人高考专升本《高等数学一》考试真题及参考答案

发布时间:2020-07-11浏览:4290次 编辑:刘老师 收藏文章

2019年全国成人高考考试已经全部结束,快师教育根据自家学员以及网友提供的资料,整理了成考专升本《高等数学一》考试真题以及参考答案,可供广大考生参考。目前站内已经发布了一部分科目的真题答案,想要进行对答案估分的考生可以直接在网站里查找相应的考试科目。剩余考试科目真题答案仍在继续整理中,敬请广大考生关注。

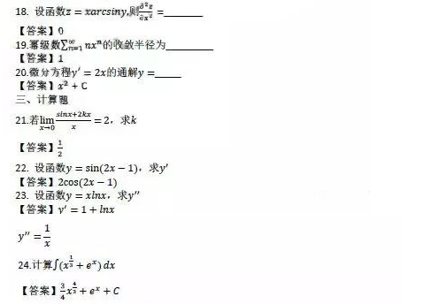
2019年成人高考专升本高等数学一真题答案.JPG

友情提醒:以下试题和答案内容都是根据网友回忆整理得来,只能作为参考。

2019年成人高考专升本高等数学一真题答案_01

2019年成人高考专升本高等数学一真题答案_02

2019年成人高考专升本高等数学一真题答案_03

2019年成人高考专升本高等数学一真题答案_04

2019年成人高考专升本高等数学一真题答案_05

2019年成人高考更多科目考试真题答案仍在持续汇总当中,敬请广大考生关注网站最新动态信息。

     安徽成人高考专升本高等数学一历年考试真题及答案推荐

2018年安徽成人高考专升本高等数学一考试真题及参考答案

2017年安徽成人高考专升本高等数学一考试真题及参考答案

2016年安徽成人高考专升本高等数学一考试真题及参考答案

评论

0人参与,0条评论

全部评论(0)

还没有评论,快来抢沙发吧!

学历提升报名热线:17333258710

地址:安徽省合肥市蜀山区长江西路200号置地投资广场8楼

网站版权Copyright © 快师教育所有 备案号: 皖ICP备17016797号-2

历年真题|考试科目|报考专业|招生院校|网站地图|关于安徽成考网