声明:最终以安徽省教育招生考试院(www.ahzsks.cn)和安徽省成人高校招生网(crbm.ahzsks.cn)发布的信息为准。

安徽成人学历提升热线

17333258710

您现在的位置:安徽成人高考 > 成考专升本 > 高等数学二 > 模拟试题 >

2020年安徽成人高考专升本《高等数学二》预测押题卷一

发布时间:2020-04-17浏览:1668次 编辑:刘老师 收藏文章

为了让广大考生能够轻松备考,快师教育现将2020年安徽成人高考专升本《高等数学二》考前预测押题卷一发布如下,考生可在线学习。快师教育提供安徽成人高考咨询、报名、课程、助学、学位英语培训等服务,全力助考,考生如有需要可直接在线咨询老师了解报考流程。

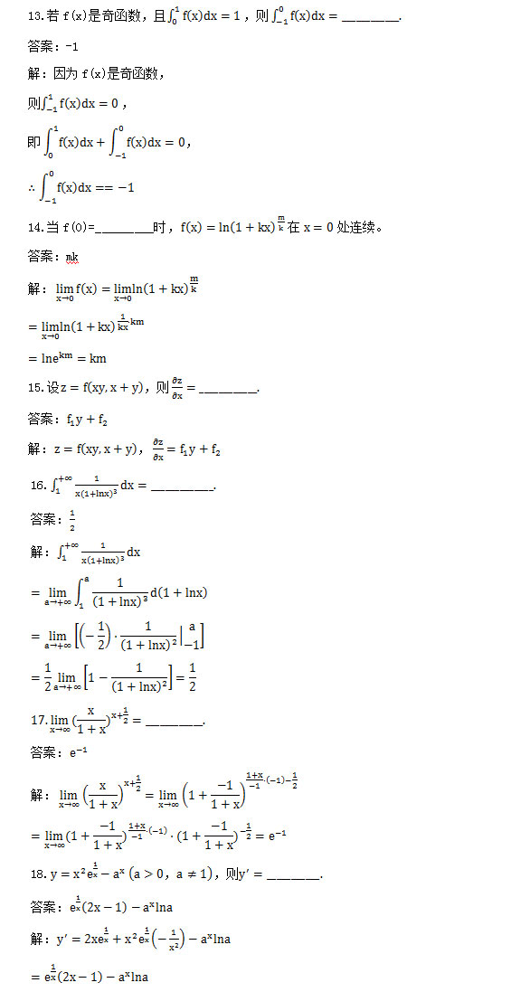
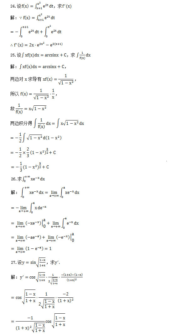
2020年安徽成人高考专升本高等数学二押题卷

2020年安徽成人高考专升本高等数学二押题卷_01

2020年安徽成人高考专升本高等数学二押题卷_02

2020年安徽成人高考专升本高等数学二押题卷_03

2020年安徽成人高考专升本高等数学二押题卷_04

2020年安徽成人高考专升本高等数学二押题卷_05

2020年安徽成人高考专升本高等数学二押题卷_06

2020年安徽成人高考专升本高等数学二押题卷_07

2020年安徽成人高考专升本高等数学二押题卷_08

2020年安徽成人高考专升本高等数学二押题卷_09

     安徽成人高考专升本高数二更多预测题推荐

2019年安徽成人高考专升本高数二考前摸底测试及答案(8)

2019年安徽成人高考专升本高数二最新预测试题及答案解析(7)

2019年安徽成人高考专升本《高等数学二》最新预测试题(6)

2019年安徽成人高考专升本高等数学二考试模拟试题及答案(5)

2019年成考专升本高等数学二考试模拟试题及答案(4)

2019年安徽成考专升本高等数学二考试模拟试题及答案(3)

2019年安徽成人高考专升本高等数学二考试模拟试题(2)

2019年安徽成人高考专升本高等数学二考试模拟试题(1)

评论

0人参与,0条评论

全部评论(0)

还没有评论,快来抢沙发吧!

学历提升报名热线:17333258710

地址:安徽省合肥市蜀山区长江西路200号置地投资广场8楼

网站版权Copyright © 快师教育所有 备案号: 皖ICP备17016797号-2

历年真题|考试科目|报考专业|招生院校|网站地图|关于安徽成考网