声明:最终以安徽省教育招生考试院(www.ahzsks.cn)和安徽省成人高校招生网(crbm.ahzsks.cn)发布的信息为准。

安徽成人学历提升热线

17333258710

您现在的位置:安徽成人高考 > 成考专升本 > 高等数学一 > 历年真题 >

2011年安徽成人高考专升本《高等数学一》考试真题及参考答案

发布时间:2020-05-08浏览:2780次 编辑:刘老师 收藏文章

成人高考专升本考试科目有政治、英语和专业课,其中理工类专业课考试科目是高等数学一。快师教育现将2011年安徽成人高考专升本《高数一》考试真题及参考答案发布如下,考生可在线学习。快师教育提供安徽成人高考全程学习指导服务,考生如有需要可直接在线咨询了解。

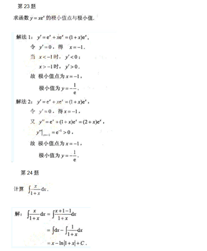
2011年安徽成人高考专升本《高等数学一》考试真题

2011年安徽成人高考专升本《高等数学一》考试真题_01

2011年安徽成人高考专升本《高等数学一》考试真题_02

2011年安徽成人高考专升本《高等数学一》考试真题_03

2011年安徽成人高考专升本《高等数学一》考试真题_04

2011年安徽成人高考专升本《高等数学一》考试真题_05

2011年安徽成人高考专升本《高等数学一》考试真题_06

2011年安徽成人高考专升本《高等数学一》考试真题_07

2011年安徽成人高考专升本《高等数学一》考试真题_08

     2005-2010年安徽成人高考专升本高数一历年真题

2010年安徽成人高考专升本《高等数学一》考试真题及参考答案

2009年安徽成人高考专升本《高等数学一》考试真题及参考答案

2008年安徽成人高考专升本《高数一》考试真题及参考答案

2007年安徽成人高考专升本高等数学一真题试题及参考答案

2006年安徽成人高考专升本高等数学一考试真题及答案解析

2005年安徽成人高考专升本《高等数学一》考试真题及答案解析

评论

0人参与,0条评论

全部评论(0)

还没有评论,快来抢沙发吧!

学历提升报名热线:17333258710

地址:安徽省合肥市蜀山区长江西路200号置地投资广场8楼

网站版权Copyright © 快师教育所有 备案号: 皖ICP备17016797号-2

历年真题|考试科目|报考专业|招生院校|网站地图|关于安徽成考网