声明:最终以安徽省教育招生考试院(www.ahzsks.cn)和安徽省成人高校招生网(crbm.ahzsks.cn)发布的信息为准。

安徽成人学历提升热线

17333258710

您现在的位置:安徽成人高考 > 成考专升本 > 高等数学二 > 模拟试题 >

2020年安徽成人高考专升本《高等数学二》模拟卷及答案一

发布时间:2020-05-23浏览:1764次 编辑:刘老师 收藏文章

安徽成人高考专升本经管类专业要考高等数学二,以下是2020年安徽成人高考专升本《高等数学二》模拟卷及答案一,考生可在站内进行学习。快师教育整理了成人高考历年真题和模拟试题,同时为考生提供考前培训和全程学习指导服务,考生如有意向可直接在线咨询报名。

2020年安徽成人高考专升本《高等数学二》模拟卷

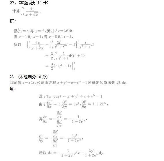
2020年安徽成人高考专升本《高等数学二》模拟卷_01

2020年安徽成人高考专升本《高等数学二》模拟卷_02

2020年安徽成人高考专升本《高等数学二》模拟卷_03

2020年安徽成人高考专升本《高等数学二》模拟卷_04

2020年安徽成人高考专升本《高等数学二》模拟卷_05

2020年安徽成人高考专升本《高等数学二》模拟卷_06

     安徽成人高考专升本高数二更多预测题推荐

2020年安徽成人高考专升本《高等数学二》预测押题卷四

2020年安徽成人高考专升本《高等数学二》预测押题卷三

2020年安徽成人高考专升本《高等数学二》预测押题卷二

2020年安徽成人高考专升本《高等数学二》预测押题卷一

2019年安徽成人高考专升本高数二考前摸底测试及答案(8)

评论

0人参与,0条评论

全部评论(0)

还没有评论,快来抢沙发吧!

学历提升报名热线:17333258710

地址:安徽省合肥市蜀山区长江西路200号置地投资广场8楼

网站版权Copyright © 快师教育所有 备案号: 皖ICP备17016797号-2

历年真题|考试科目|报考专业|招生院校|网站地图|关于安徽成考网