声明:最终以安徽省教育招生考试院(www.ahzsks.cn)和安徽省成人高校招生网(crbm.ahzsks.cn)发布的信息为准。

安徽成人学历提升热线

17333258710

您现在的位置:安徽成人高考 > 成考专升本 > 高等数学二 > 模拟试题 >

2020年安徽成人高考专升本《高等数学二》模拟卷及答案九

发布时间:2020-07-28浏览:1510次 编辑:刘老师 收藏文章

成人高考专升本高等数学二复习有技巧,通过大量的刷题练习,可以更快掌握题目规律。以下是2020年安徽成人高考专升本《高等数学二》模拟卷及答案九,满分150分,考生题型包括选择题、填空题、解答题,共28道小题,考试时间为150分钟,考生可在规定时间内进行学习打卡。

安徽成人高考专升本《高等数学二》模拟卷及答案

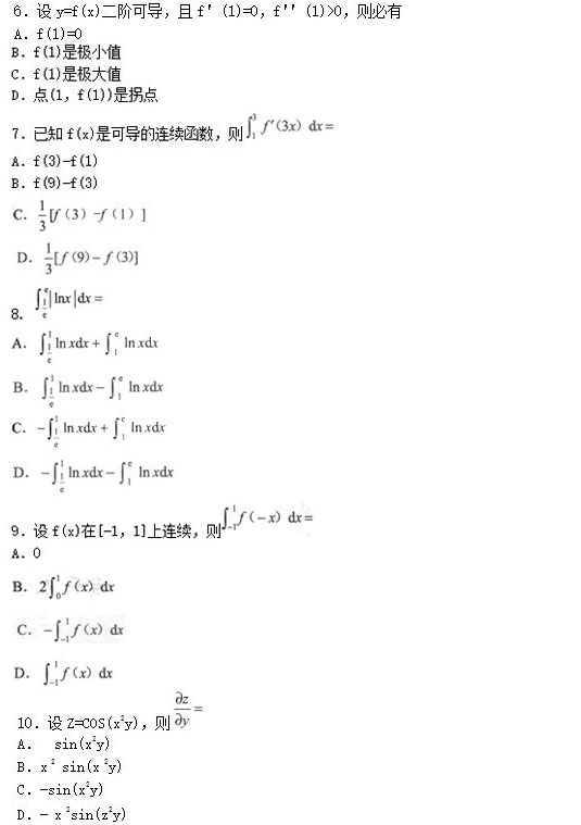
安徽成人高考专升本《高等数学二》模拟卷及答案_01

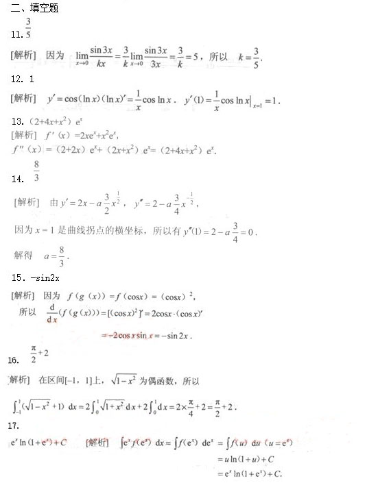
安徽成人高考专升本《高等数学二》模拟卷及答案_02

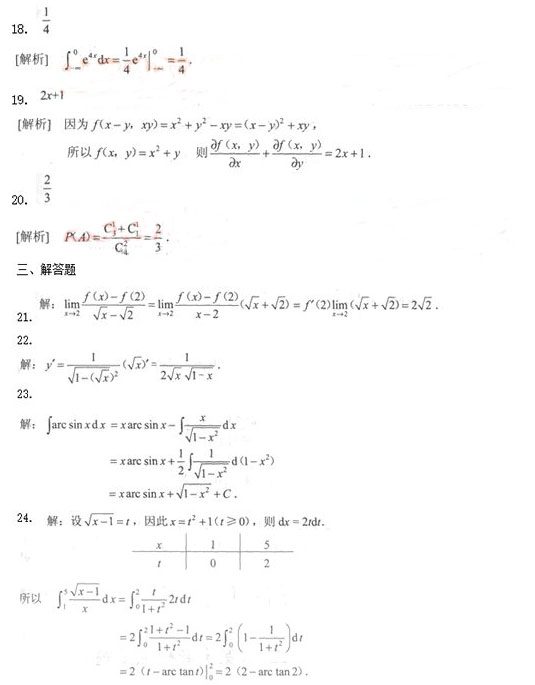
安徽成人高考专升本《高等数学二》模拟卷及答案_03

安徽成人高考专升本《高等数学二》模拟卷及答案_04

安徽成人高考专升本《高等数学二》模拟卷及答案_05

安徽成人高考专升本《高等数学二》模拟卷及答案_06

安徽成人高考专升本《高等数学二》模拟卷及答案_07

     安徽成人高考专升本高数二更多预测题推荐

2020年安徽成人高考专升本《高等数学二》模拟卷及答案八

2020年安徽成人高考专升本《高等数学二》模拟卷及答案七

2020年安徽成人高考专升本《高等数学二》模拟卷及答案六

2020年安徽成人高考专升本《高等数学二》模拟卷及答案五

2020年安徽成人高考专升本《高等数学二》模拟卷及答案四

评论

0人参与,0条评论

全部评论(0)

还没有评论,快来抢沙发吧!

学历提升报名热线:17333258710

地址:安徽省合肥市蜀山区长江西路200号置地投资广场8楼

网站版权Copyright © 快师教育所有 备案号: 皖ICP备17016797号-2

历年真题|考试科目|报考专业|招生院校|网站地图|关于安徽成考网