声明:最终以安徽省教育招生考试院(www.ahzsks.cn)和安徽省成人高校招生网(crbm.ahzsks.cn)发布的信息为准。

安徽成人学历提升热线

17333258710

您现在的位置:安徽成人高考 > 成考专升本 > 高等数学一 > 模拟试题 >

2020年安徽成人高考专升本《高等数学一》考前预热试题一

发布时间:2020-08-07浏览:1821次 编辑:刘老师 收藏文章

成人高考专升本是全国统一考试,其中专升本理工类专业总共考三门,分别是政治、英语高等数学一。以下是2020年安徽成人高考专升本《高等数学一》考前预热试题一,考试时间为150分钟,考试题型为:选择题、填空题和解答题,共计28道小题,满分150分,考生可直接在线做题,轻松备考。

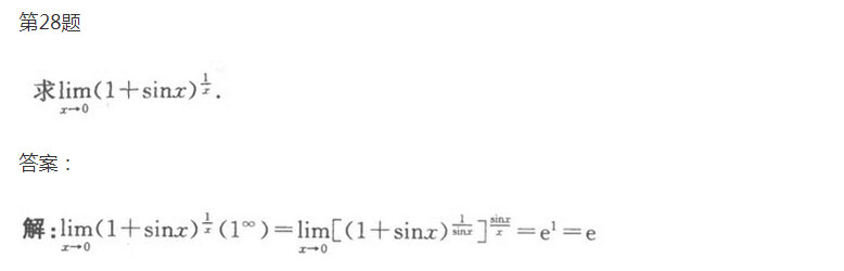
安徽成人高考专升本《高等数学一》考前预热试题

安徽成人高考专升本《高等数学一》考前预热试题_01安徽成人高考专升本《高等数学一》考前预热试题_02安徽成人高考专升本《高等数学一》考前预热试题_03安徽成人高考专升本《高等数学一》考前预热试题_04安徽成人高考专升本《高等数学一》考前预热试题_05安徽成人高考专升本《高等数学一》考前预热试题_06安徽成人高考专升本《高等数学一》考前预热试题_07安徽成人高考专升本《高等数学一》考前预热试题_08安徽成人高考专升本《高等数学一》考前预热试题_09

     安徽成人高考专升本高数一更多预测题推荐

2020年安徽成人高考专升本《高等数学一》模拟卷及答案十

2020年安徽成人高考专升本《高等数学一》模拟卷及答案九

2020年安徽成人高考专升本《高等数学一》模拟卷及答案八

2020年安徽成人高考专升本《高等数学一》模拟卷及答案七

2020年安徽成人高考专升本《高等数学一》模拟卷及答案六

评论

0人参与,0条评论

全部评论(0)

还没有评论,快来抢沙发吧!

学历提升报名热线:17333258710

地址:安徽省合肥市蜀山区长江西路200号置地投资广场8楼

网站版权Copyright © 快师教育所有 备案号: 皖ICP备17016797号-2

历年真题|考试科目|报考专业|招生院校|网站地图|关于安徽成考网