声明:最终以安徽省教育招生考试院(www.ahzsks.cn)和安徽省成人高校招生网(crbm.ahzsks.cn)发布的信息为准。

安徽成人学历提升热线

17333258710

您现在的位置:安徽成人高考 > 成考专升本 > 高等数学一 > 历年真题 >

2020年成人高考专升本《高等数学一》考试真题及答案

发布时间:2020-10-27浏览:5801次 编辑:刘老师 收藏文章

2020年全国成人高考统一考试已经全部结束,应广大考生要求,快师教育根据学员及网友提供的真题资料,整理出了2020年成人高考专升本《高等数学一》考试真题及答案,考生可参考该试卷进行估分。安徽成人高考考试成绩将于11月中下旬公布,录取成绩可在12月中旬进行查询,考生可耐心等候通知。

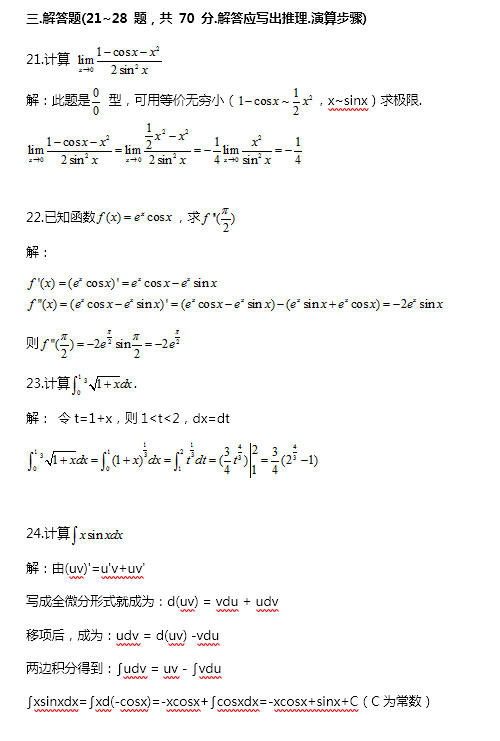
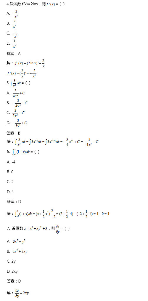
2020年成人高考专升本高等数学一真题

2020年成人高考专升本高等数学一考试真题_01

2020年成人高考专升本高等数学一考试真题_02

2020年成人高考专升本高等数学一考试真题_03

2020年成人高考专升本高等数学一考试真题_04

2020年成人高考专升本高等数学一考试真题_05

2020年成人高考专升本高等数学一考试真题_06

2020年成人高考专升本高等数学一考试真题_07

2020年成人高考专升本高等数学一考试真题_08

2020年成人高考专升本高等数学一考试真题_09

安徽成人高考专升本考试录取分数线在120分-190分之间,经管类、理工类、艺术类专业的考生一般考到120分左右即可通过考试,文史中医类专业的考生需要考到190分左右,所以考生根据所报考的专业进行科目估分。

评论

0人参与,0条评论

全部评论(0)

还没有评论,快来抢沙发吧!

学历提升报名热线:17333258710

地址:安徽省合肥市蜀山区长江西路200号置地投资广场8楼

网站版权Copyright © 快师教育所有 备案号: 皖ICP备17016797号-2

历年真题|考试科目|报考专业|招生院校|网站地图|关于安徽成考网