声明:最终以安徽省教育招生考试院(www.ahzsks.cn)和安徽省成人高校招生网(crbm.ahzsks.cn)发布的信息为准。

安徽成人学历提升热线

17333258710

您现在的位置:安徽成人高考 > 成考专升本 > 高等数学一 > 辅导讲义 >

2020年安徽成人高考专升本《高等数学》考情考点五

发布时间:2020-12-02浏览:1675次 编辑:刘老师 收藏文章

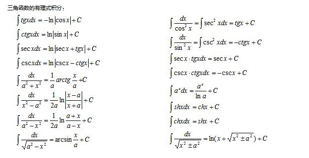
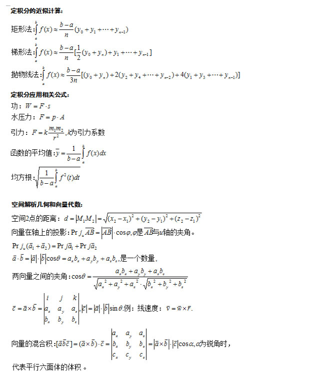
根据成人高考专升本高等数学考试大纲,快师教育将其中的考情考点进行了提炼,主要涉及函数、极限和连续,一元函数微分学,一元函数积分学,向量代数与空间解析几何,微分中值定理及导数等,包括相关的定理、法则、公式,考生可以进行针对性学习。以下是2020年安徽成人高考专升本《高等数学》考情考点五:

成人高考专升本《高等数学》考情考点

成人高考专升本《高等数学》考情考点_01

成人高考专升本《高等数学》考情考点_02

成人高考专升本《高等数学》考情考点_03

以上就是成人高考专升本高等数学考点:函数、极限和连续的相关内容。除此之外,关于高等数学更多考点、公式以及答题技巧,快师教育会统一进行整理,发布在站内,考生可在线学习。考生如需练题,也可直接在站内进行,点击→在线做题

评论

0人参与,0条评论

全部评论(0)

还没有评论,快来抢沙发吧!

学历提升报名热线:17333258710

地址:安徽省合肥市蜀山区长江西路200号置地投资广场8楼

网站版权Copyright © 快师教育所有 备案号: 皖ICP备17016797号-2

历年真题|考试科目|报考专业|招生院校|网站地图|关于安徽成考网