声明:最终以安徽省教育招生考试院(www.ahzsks.cn)和安徽省成人高校招生网(crbm.ahzsks.cn)发布的信息为准。

安徽成人学历提升热线

17333258710

您现在的位置:安徽成人高考 > 成考专升本 > 高等数学二 > 辅导讲义 >

2021年成人高考专升本《高等数学》公式定理宝典五

发布时间:2021-07-22浏览:1787次 编辑:刘老师 收藏文章

根据成人高考专升本高等数学考试大纲,快师教育将其中的考情考点进行了提炼,主要涉及函数、极限和连续,一元函数微分学,一元函数积分学,向量代数与空间解析几何,微分中值定理及导数等,包括相关的定理、法则、公式,考生可以进行针对性学习。以下是2021年成人高考专升本《高等数学》公式定理宝典五:

成人高考专升本《高等数学》公式定理

六、不定积分

(一)原函数

原函数

(二)不定积分

不定积分

(三)不定积分的性质

不定积分的性质

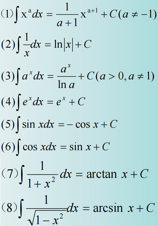
(四)基本积分公式

基本积分公式

(五)求不定积分的两种常用方法:

求不定积分的两种常用方法

     成人高考专升本高等数学复习资料

成人高考专升本《高等数学》公式定理宝典四

成人高考专升本《高等数学》公式定理宝典三

成人高考专升本《高等数学》公式定理宝典二

成人高考专升本《高等数学》公式定理宝典一

成人高考专升本《高等数学》公式定理大全

评论

0人参与,0条评论

全部评论(0)

还没有评论,快来抢沙发吧!

学历提升报名热线:17333258710

地址:安徽省合肥市蜀山区长江西路200号置地投资广场8楼

网站版权Copyright © 快师教育所有 备案号: 皖ICP备17016797号-2

历年真题|考试科目|报考专业|招生院校|网站地图|关于安徽成考网