声明:最终以安徽省教育招生考试院(www.ahzsks.cn)和安徽省成人高校招生网(crbm.ahzsks.cn)发布的信息为准。

安徽成人学历提升热线

17333258710

您现在的位置:安徽成人高考 > 成考专升本 > 高等数学一 > 辅导讲义 >

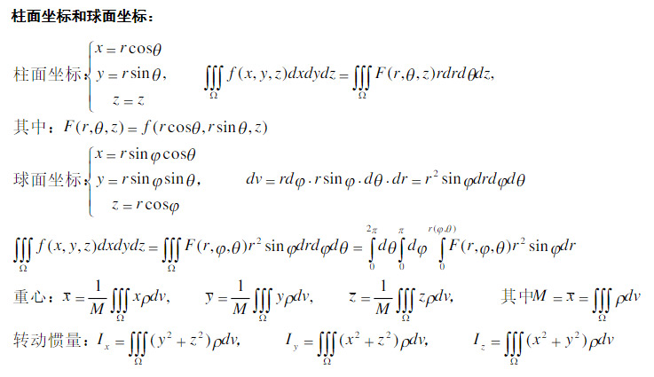
2021年成人高考专升本高等数学公式大全(四)

发布时间:2021-08-01浏览:1596次 编辑:刘老师 收藏文章

成人高考报名在即,准备参加2021年成人高考考试的同学,现在可以准备复习了。高等数学是成人高考专升本理工类和经管类专业的考试科目之一,根据新的考试大纲,快师教育安徽成考网整理了成人高考专升本高等数学公式大全,是考试必记知识点,有需要的同学可以在线学习,也可以添加微信:17333258710,领取资料。

2021年成人高考专升本高等数学公式

2021年成人高考专升本高等数学公式_01

2021年成人高考专升本高等数学公式_02

2021年成人高考专升本高等数学公式_03

     成人高考专升本高等数学复习资料

2021年成人高考专升本高等数学公式大全(三)

2021年成人高考专升本高等数学公式大全(二)

2021年成人高考专升本高等数学公式大全(一)

成人高考专升本《高等数学》考情考点五

成人高考专升本《高等数学》考情考点四

评论

0人参与,0条评论

全部评论(0)

还没有评论,快来抢沙发吧!

学历提升报名热线:17333258710

地址:安徽省合肥市蜀山区长江西路200号置地投资广场8楼

网站版权Copyright © 快师教育所有 备案号: 皖ICP备17016797号-2

历年真题|考试科目|报考专业|招生院校|网站地图|关于安徽成考网